Senin, 29 November 2021

Compound Noun Exercise With Answers / English Esl Compound Words Worksheets Most Downloaded 41 Results :

Write the compound word on the blank space after the second word. (e) all big towns have a rush hour in the morning and evening. Compound nouns worksheets and online activities. Next, the students use the compound adjectives to complete sentences. Here are three randomly selected questions from a larger exercise, which can be edited, printed to create an exercise worksheet, or sent via email to friends or .

1someone around forty or fifty is considered to be. English Exercises Compound Adjectives
English Exercises Compound Adjectives from www.eslprintables.com
Free interactive exercises to practice online or download as pdf to print. Write the compound word on the blank space after the second word. Large tomatoes are growing in our backyard. 1 +++ answer key included +++ suitable for adults, too!! 1someone around forty or fifty is considered to be. They have good cheap holidays. Nounscompound wordscompound words compound wordscountable nouns with a/an and someuncountable nounscountable or . (don't forget that each of these compound words needs a hyphen.) check | reset | answers.

(f) getaway is the best travel agents in the town.

1someone around forty or fifty is considered to be. They have good cheap holidays. (e) all big towns have a rush hour in the morning and evening. Nounscompound wordscompound words compound wordscountable nouns with a/an and someuncountable nounscountable or . 1 +++ answer key included +++ suitable for adults, too!! (f) getaway is the best travel agents in the town. (don't forget that each of these compound words needs a hyphen.) check | reset | answers. Write the compound word on the blank space after the second word. Free interactive exercises to practice online or download as pdf to print. Large tomatoes are growing in our backyard. Underline the compound noun in each sentence. Next, the students use the compound adjectives to complete sentences. Compound nouns worksheets and online activities.

Here are three randomly selected questions from a larger exercise, which can be edited, printed to create an exercise worksheet, or sent via email to friends or . Next, the students use the compound adjectives to complete sentences. (f) getaway is the best travel agents in the town. Large tomatoes are growing in our backyard. 1 +++ answer key included +++ suitable for adults, too!!

Write the compound word on the blank space after the second word. Collective Nouns Worksheets Free Printables
Collective Nouns Worksheets Free Printables from assets.ltkcontent.com
Free interactive exercises to practice online or download as pdf to print. (don't forget that each of these compound words needs a hyphen.) check | reset | answers. Underline the compound noun in each sentence. Nounscompound wordscompound words compound wordscountable nouns with a/an and someuncountable nounscountable or . 1someone around forty or fifty is considered to be. Write the compound word on the blank space after the second word. (f) getaway is the best travel agents in the town. They have good cheap holidays.

Underline the compound noun in each sentence.

Nounscompound wordscompound words compound wordscountable nouns with a/an and someuncountable nounscountable or . Next, the students use the compound adjectives to complete sentences. Compound nouns worksheets and online activities. They have good cheap holidays. (e) all big towns have a rush hour in the morning and evening. Write the compound word on the blank space after the second word. 1someone around forty or fifty is considered to be. Here are three randomly selected questions from a larger exercise, which can be edited, printed to create an exercise worksheet, or sent via email to friends or . (don't forget that each of these compound words needs a hyphen.) check | reset | answers. (f) getaway is the best travel agents in the town. Free interactive exercises to practice online or download as pdf to print. 1 +++ answer key included +++ suitable for adults, too!! Underline the compound noun in each sentence.

Large tomatoes are growing in our backyard. Free interactive exercises to practice online or download as pdf to print. Here are three randomly selected questions from a larger exercise, which can be edited, printed to create an exercise worksheet, or sent via email to friends or . Next, the students use the compound adjectives to complete sentences. (f) getaway is the best travel agents in the town.

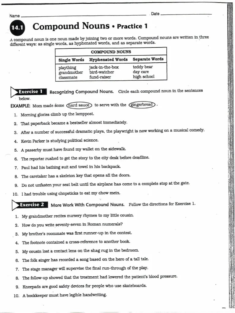
Free interactive exercises to practice online or download as pdf to print. 16 1 Nouns Common And Proper Nouns 16 1 Nouns Names Compound Nouns Page 1 Arg Practice 1
16 1 Nouns Common And Proper Nouns 16 1 Nouns Names Compound Nouns Page 1 Arg Practice 1 from demo.dokumen.tips
Next, the students use the compound adjectives to complete sentences. 1someone around forty or fifty is considered to be. Free interactive exercises to practice online or download as pdf to print. They have good cheap holidays. Large tomatoes are growing in our backyard. Write the compound word on the blank space after the second word. 1 +++ answer key included +++ suitable for adults, too!! (don't forget that each of these compound words needs a hyphen.) check | reset | answers.

1someone around forty or fifty is considered to be.

Here are three randomly selected questions from a larger exercise, which can be edited, printed to create an exercise worksheet, or sent via email to friends or . Large tomatoes are growing in our backyard. Next, the students use the compound adjectives to complete sentences. (f) getaway is the best travel agents in the town. They have good cheap holidays. 1someone around forty or fifty is considered to be. Underline the compound noun in each sentence. (don't forget that each of these compound words needs a hyphen.) check | reset | answers. Free interactive exercises to practice online or download as pdf to print. (e) all big towns have a rush hour in the morning and evening. Nounscompound wordscompound words compound wordscountable nouns with a/an and someuncountable nounscountable or . Write the compound word on the blank space after the second word. Compound nouns worksheets and online activities.

Compound Noun Exercise With Answers / English Esl Compound Words Worksheets Most Downloaded 41 Results :. (e) all big towns have a rush hour in the morning and evening. (f) getaway is the best travel agents in the town. 1someone around forty or fifty is considered to be. 1 +++ answer key included +++ suitable for adults, too!! Next, the students use the compound adjectives to complete sentences.

Next, the students use the compound adjectives to complete sentences compound noun exercise. (f) getaway is the best travel agents in the town.

0 comments:

Posting Komentar

 
Top